— 行業資訊 —
大中電機歡迎您
全國免費客服電話 187-1797-6220
地址:上海市松江區莘磚公路399弄
電話:021-6992-5088
手機:187-1797-6220 朱經理
郵箱:18717976220@163.com
發布時間:2021-08-05 08:25
確定三相異步電動機效率的方法有很多,大致可以分為三類:第一類是直接測量法,第二類是間接測量法(也稱損耗分析法),第三類是簡單試驗后的理論計算方法。今天,女士對不同的測試方法進行了簡要的分析,重點是A法測試。
各種試驗方法的特點和適用性
第一種方法直觀、簡單,相對精度高,但不利于電機性能的具體分析和有針對性的改進;第二種方法測試項目多,費時費力,計算較多,綜合精度不如第一種方法,但可以展現決定電機效率主要成分的具體情況,便于有針對性地分析電機設計、加工、制造中的問題,使電機性能達到要求或通過改進進一步提高;第三類是測試設備不足時使用的方法,準確度最差。目前,大多數電機技術條件中規定的效率限值要求采用第二種方法(損耗分析法)來確定效率。
測試方法的分類
GB/T 1032參考了IEC和NEMA標準,進一步對三相異步電動機效率的確定方法進行了分類,用代碼表示。
方法a ——輸入輸出方法。通常僅用于額定功率1kW或效率指數80%的電機。
b方法——輸入輸出損耗分析法測量雜散損耗。測量儀器的精度要求高(一般要求不低于0.2級)
c方法——損耗分析間接法(反饋)測量的雜散損耗
e法——損耗分析法和實測雜散損耗
E1方法——損耗分析法推薦雜散損耗
f法——等效電路法和實測雜散損耗
F1法——等效電路法和推薦雜散損耗
g方法——降低電壓負載方法和測量的雜散損耗
G1法——電壓減載法和推薦雜散損耗
h法——圓圖計算法
測量效率的方法——,測量效率的直接方法
方法a被稱為“效率的直接測量方法”,并且通常被稱為“輸入-輸出方法”,之所以命名是因為在測試期間可以直接獲得兩個數據,——,輸入電率P1和輸出機械功率P2。
試驗設備要求
這種方法的關鍵是要有能直接測量電機輸出機械功率(或轉矩)的功率測量設備。在與測試電機相同的速度下,所用測功機的功率(或扭矩傳感器的標稱扭矩)不得超過測試電機額定功率(或扭矩)的兩倍。
當使用經過校準的DC電機時,所用DC電機的校準應在發電機狀態下進行。在測試過程中,DC電機的轉向和勵磁電流應與校準過程中的相同。測試期間,勵磁電流應保持不變。
試驗方法說明
被測電機加載規定負載并運行至溫升穩定或達到規定時間后(采用后一種方法時,被測電機繞組達到的溫度與實際溫升達到的溫度之差不應超過5K),調整負載在1.5-0.25倍額定功率范圍內變化,測量負載下降和上升時的兩條工作特性曲線。每條曲線至少應取6個讀數,每個讀數應包括:三相線電壓(應保持額定值)、三相線電流I1(A)、輸入功率P1(W)、轉速n(r/min)、輸出扭矩t (n m)、條件允許時應記錄輸出功率P2(W)。最后,停電后停機,在規定時間內(按標準規定)測量定子繞組的DC電阻R1();否則,根據熱試驗后熱阻計算的相關規定進行外推和修正。當條件允許時,最好采用現場測量(疊加法)或溫度傳感器,如嵌入繞組中的熱電偶或銅(鉑)熱電阻,以獲得定子繞組各點的溫度或電阻。在測試期間,th
正對用測功機測得的各點輸出轉矩值,應再補加測功機風摩耗所消耗的轉矩值后才是被試電動機的輸出轉矩,具體見式(1)
TC=T1+Tfw………………(1)
式(1)中:
TC—一修正后的電動機輸出轉矩(N·m):
T1——試驗時測功機顯示的轉矩值(N·m);
Tfw—一測功機的風摩損耗轉矩(N·m),Tfw按式(2)求得:

式(2)中:
P1——電動機在額定電壓下驅動測功機時的輸人功率(W),此時測功機的電樞和勵磁回路均應開路;
Td——風摩損耗轉矩試驗時測功機的轉矩值(N.m);
P0——電動機的空載損耗(W);
nt——風摩損耗轉矩試驗時電動機的轉速(r/min)。
(2)輸出轉速修正
試驗時的冷卻介質溫度應換算到25℃,此時,電動機的轉速應按式(3)換算。

式(3)中:
n ref——換算到冷卻介質為25℃時的轉速(r/min);
nt——試驗時測得的轉速(r/min);
Δθ2——試驗時的轉子溫升(K),若無法測得,可用定子要升代替;
θt——試驗時冷卻介質溫度(℃):
ns—被試電機的同步轉速(r/min);
K——計算常數,銅導體為235,鋁導體為225。
(3)定子繞組損耗修正
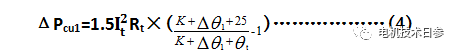
定子繞組損耗I2R的修正量ΔPcu1(W)按式(4)計算:

式(4)中:
It——試驗時的定子線電流(A);
Δθ1——試驗時的定子溫升(K);
Rt——試驗時的定子線電阻(Ω)。
(4)被試電機修正后的輸出功率
被試電機修正后的輸出功率P2(W)按式(5)計算。

(5)求取各測點效率
用下式求取各試驗測點的效率η(%),具體見式(6)

(6)效率曲線的繪制和滿載效率的確定
用上述計算出的各點效率值作效率與輸出功率的關系曲線η=f(P2),對測試出負載上升和下降兩條曲線的,還應繪出“平均曲線”。從平均曲線上查出對應于被試電機額定輸出功率P2=PN時的效率值,即為該電機的實際滿載效率值。

● 按GB/T 755.2規定對試驗結果的處理方法及一些觀點
GB/T 755.2規定,“當電機在額定轉速、額定電壓和額定電流下運行時,輸出與輸入之比即為效率。試驗應在盡可能接近額定規定的時間終了時所達到的溫度下進行,繞組電阻不必作溫度修正。”
該標準沒有講述其他電流點的測試和效率的計算以及繪制效率與輸出功率的關系曲線的問題,并且用于效率計算的兩個數據是在“額定轉速、額定電壓和額定電流下運行時”取得的。從字面上來理解,可認為這樣求得的效率即為額定功率時的效率。

但是在實際試驗中,上述工作狀態時電動機的輸出功率不一定是額定值(當然輸入功率也不會是額定值了),自然由此求得的效率也不一定是額定功率時的數值了。這項差異在某些試制產品上有時會較大。
因采用“輸入、輸出法”的最大特點就是可直接獲得額定輸出功率或輸出轉矩,如不直接計算效率,優勢將減小。因此,應將“當電機在額定轉速、額定電壓和額定電流下運行時”改為“當電機在額定電壓、額定頻率和額定輸出功率(或額定轉矩)下運行時”。另外,該標準規定電阻不用進行溫度修正,使得計算得以簡化。但在一定程度上會造成不同環境溫度試驗值的差異。
以上非官方發布內容,僅代表個人觀點。
相關推薦
在線留言